Zebrafell befasst sich mit dem Wetter am Ammersee. Es ist die Informationsseite für Segler, Kiter und alle die sich für das Wetter auf den Ammersee interessieren. Die wichtigsten Wetterdaten wie Temperaturen, Wind, Luftdruck und andere Werte werden von der Wetterstation in Herrsching erfasst. Eigene und verfügbare webcams von Herrsching, Fischen, Diessen, Inning, Breitbrunn, Eching, werden angezeigt. In Windmails kann man sich ein Mail je nach Windstärke oder Sturmwarnung schicken lassen.

nach wikipedia:

daten.jpg

Das bayerische Landesamt für Umwelt hat eine Publikation zum Thema Seelitorale In Bayern:Ammersee 2005 veröffentlicht. Es geht um die Wasserqualitätsbewertung des Uferbereichs (=Litorale). Untersucht wurden Diatomeen, das sind mikroskopisch kleine, einzellige Algen. Zitat: "Die höchsten Grade der Trophie erreichte der Ammersee Mitte der 1970er Jahre. Seit dem Bau der Ringkanalisation im Jahr 1971 und der Phosphor-Eliminierung in den Kläranlagen des Ammer-Einzugsgebiets befindet sich der See in einer Re-Oligotrophierungsphase."

In einer früheren Untersuchung "Ammersee Makrophyten-Kartierungen 1986/87 und 2000/01" wurde die Entwicklung gegenübergestellt. Makrophyten sind Wasserpflanzen, die mit dem Auge erkennbar sind.

Oligotroph (blau) Throphie ist besser als eutroph (rot). Es wurden im Januar, Mai und August Proben entnommen. Die Trophie war im August am ungünstigsten, wie allein schon wegen der Seetemperatur zu erwarten war.
Der rote Bereich erstreckt sich deutlich über die Einmündung der Ammer. Das Wasserwirtschaftsamt Weilheim befindet in einer Veröffentlichung "Wasserqualität und Gewässergüte der Ammer" von 2010 Güteklasse 1 für die Ammer nach chemischen Eigenschaften mit Ausnahme des Nitrat-Stickstoff Gehalts. Die ökologische Güteklasse, beurteilt nach Algen, Wasserpflanzen, erreicht daher "mäßig belastet". Erstaunlich, da sich im Mündungsbereich im Ammersee ein "stark belastet" ergibt.

Der Effekt der Ringkanalisation kann deutlich an der Reduzierung des Phosphorgehalts abgelesen werden. (Das deckt sich auch mit meiner Erinnerung: vor 40-50 Jahren bildeten sich in Verbindung mit starker Sonneneinstrahlung Algenteppiche auf dem Wasser, die unangenehm rochen.)

In einer Dokumentation von Zustand und Entwicklung der wichtigsten Seen Deutschlands (leider ist di Kodumentation online nicht mehr verfügbar) ohne Datumsangabe (etwa 2004) wird auch die Veränderung des Fischfangs im Ammersee behandelt. Bei der erwähnten Individuendichte von 750/ha würden etwa 3.5 Mio Renken im Ammersee schwimmen!
Reoligotrophierung: Verbesserung der Wassergüte
Verbuttung: überproportionaler Anstieg der Individuenzahl einer Fischpopulation bei auffallender Zwergwüchsigkeit.
Metalimnion: Übergangswasserschicht zwischen der oberen (=Epilimnion, bis 10m Wassertiefe in der Sommerstagnation) und der unteren Wasserschicht (=Hypolimnion, ab 15-20m). Die Temperaturschichtung in Seen ist ein eigenes Interessantes Thema. Da das Wasser bei 3.98° am schwersten ist, erfolgt in der Frühjahrszirkulation die komplette Durchmischung des Sees mit Sauerstioff und Nährstoffen. Während in der Sommerstagnation nur die obere Wasserschicht durchmischt wird.

Die Landesagentur für Umwelt aus Italien hat die Stufen ganz gut erklärt.

In einer Dr.Arbeit "Thermische Entwicklung des Ammersees als regionale Auswirkung des Globalen Wandels" wurde das Thema ausführlich behandelt. In der Zusammenfassung kommt der Autor zu einem (für seine Dr.-Arbeit wahrscheinlich unbefriedigenden) Ergebnis: "Zwar sind Veränderungen in kurzfristigen Beobachtungen vor allem im Bereich zwischen 0-20m Tiefe erkennbar, aber langfristige Trends vor allem im Tiefenbereich und gesamten Wasserkörper sind durch klimatische Einflüsse kaum nachweisbar. Durch die starken Schwankungen von Jahr zu Jahr bezüglich aller untersuchten Parameter werden langfristige Trends meist überdeckt."

Das "Bayerische Landesamt für Umwelt" betreibt die gelbe Messboje im See. Die Daten sind seit 2014 online . (Stand Okt.2022 defekt) Das Hauptinteresse gilt den Temperaturen im See. Dabei werden die Wassertemperaturen bis 78m Tiefe in 16 Stufen erfasst. Auf der Boje ist noch eine Kompaktwetterstation für Wind, Luftdruck, Temperatur, Feuchtigkeit. Leider werden diese Daten nur einmal am Tag um 10:00 online gestellt. Die Grafiken werden erst einen Tag später upgedatet. (Das wären eigentlich endlich die optimalen Daten - ungestört von irgendwelchen Bäumen!) Auf dieser Seite werden ganz gut die unterschiedlichen Waserdurchmischungen in den Jahreszeiten erklärt.

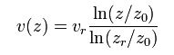
1kts=1.9 m/s - wenn man die Werte in etwa verdoppelt erhält man die Windstärke in Knoten. Die Windstärke wird in 1.8m Höhe über dem Wasser gemessen.
Der Wind nimmt mit der Höhe zu. Es gilt bodennah in der Prandtlschicht die Formel:

(siehe wikipedia)

Die Fläche um die Boje ist eben, damit ergibt sich ein niedriger z0=0.01 Wert. Damit müßte die Windstärke um etwa 30% steigen für einen 10m hohen Mast erhöht werden (in Knoten insgesamt 2.5fach).

Alle Ammerseerer fürchten der See verschwindet über kurz oder lang und aus der Herrschinger Bucht wird ein Industriegebiet! Die bayerische Vermessungsverwaltung bietet einen großartigen Viewer zu Bayern an. In diesem Viewer wird Luftbild, Kartenbild und eine historische Karte von 1865-1874 gegenübergestellt. Einige Bereiche habe ich direkt gegenübergestellt (einfach mit der Maus auf das Bild fahren). Der Vergleich der Uferlinien ergibt keine großen Veränderungen - demnach werden wir das Industriegebiet nicht mehr erleben.
Sehr auffallend ist jedoch die stark veränderte Besiedlung, gerade in Herrsching. Die Bevölkerung in Bayern wuchs von 3.7 Millionen (1825) (Quelle: Haus der deutschen Geschichte) auf heute 12,6 Millionen (wikipedia), also vervierfacht. In Herrsching hat sich das sicher wesentlich stärker verändert.

1830 2012

Die Uferveränderung in Lochschwab (also die obere, nördliche Seite der Bucht) ist durch die Ringkanalisation entstanden. Die Kanalisation wurde in den Schilfgürtel verlegt und darauf befindet sich der heutige, im Foto gut sichtbare Uferweg. Die Verlandung am schwarzen Kreuz wird aber vermutlich andere Gründe haben, da die Kanalisation direkt unter dem Uferweg liegt. Durch Fischbach (Zufluß vom Pilsensee) und Kienbach (kommt von Andechs) werden Sedimente in die Bucht eingebracht. Dies wird sicher zur Verlandung beitragen. ASV und RMDSC müssen ihre Häfen immer wieder ausbaggern, damit diese nutzbar bleiben. Beispielsweise hatte sich im Hafen vom RMDSC im frisch ausgebaggerten Hafen (etwa 1.50 tief) über den Winter 2011/12 am Ende vom Kai wieder ein Hügel im Wasser gebildet, der fast bis an die Wasseroberfläche ragte!

1830 2012
1830 2012

Zwischen 1920-1930 wurde die Ammer in das heutige Flußbett verlegt. Die Ammer trägt eine große Menge Schwebstoffe in den Ammersee und daher verlandet das Mündungsgebiet. Man kann das an der Uferlinie sehen. Auch die Wassertiefe hat sich wesentlich verändert. Angeblich konnte früher der Dampfer in Adelried anlegen.
Die erste Landzunge rechts neben der rechten ursprünglichen Ammermündung ist die Schwedeninsel. Inzwischen ist der Übergang verlandet, daher ist es nur noch eine Halbinsel im gesperrten Naturschutzgebiet. Während des Dreißigjährigen Krieges brachten sich die Bewohner von Dießen mit ihren Booten vor plündernden schwedischen Soldaten auf die Insel in Sicherheit. Dies erklärt den heutigen Namen Schwedeninsel. Der frühere Name Erlaich taucht noch als Flurname auf aktuellen amtlichen Karten auf. (Wikipedia)
Die ganze Geschichte hat Bettina sehr informativ aufbearbeitet in http://cox-box.de/category/revier/ .

1830 2012
1830 2012
1830 2012
1830 2012
1830 2012
1830 2012

Es gibt noch ein weitere hervorragende Quelle für historische Karten die bayer. Landesbibliothek. Hier werden sämtliche Karten gezeigt, die für einen Ort gesannt wurden: für den Ammersee sind 190 Karten beginnend ab 1568! Die Vermessung dieser Karten ist zu ungenau um sie mit aktuellen Luftbildern vergleich zu können.

1568: Landtafeln von Apian

1806: Cartedela Bavière

1807: Plan Riedl

1937: Bayern

Bild